Τους νέους οριστικούς πίνακες με τους υποψήφιους Διοικητές Νοσοκομείων της 5ης ΥΠΕ Θεσσαλίας και Στερεάς Ελλάδος γνωστοποίησε το ΑΣΕΠ.
Μετά από ένα διάστημα ημερών ελέγχου των ενστάσεων ου είχαν υποβληθεί από συμμετέχοντες οι οποίοι είχαν αντιρρήσεις, ο φορέας ανακο0ιωσε και όσους αποκλείονται αλλά και όσους περνούν στην επόμενη φάση.
Διευκρινίζεται από το ΑΣΕΠ ότι, σύμφωνα με την υπ’ αριθ. 62/2004 απόφαση της Αρχής Προστασίας Δεδομένων Προσωπικού Χαρακτήρα, οι περιλαμβανόμενοι υποψήφιοι στους πίνακες αποκλειομένων εμφανίζονται μόνο με τον αριθμό μητρώου (Α.Μ.) αίτησης.
Σημειώνεται ότι οι υποψήφιοι θα κληθούν σε συνέντευξη από την οικεία Επιτροπή. Σχετική ειδοποίηση θα αποσταλεί πέντε (5) εργάσιμες ημέρες πριν από την ημερομηνία διεξαγωγής της συνέντευξής τους.
Δείτε στο ΕΔΩ τους αναλυτικούς πίνακες του ΑΣΕΠ.
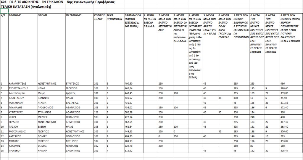
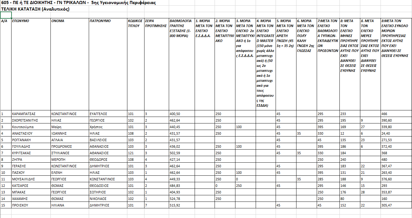
Αναλυτικά η τελική 15άδα υποψηφίων διοικητών του Νοσοκομείου Τρικάλων:
Θες να μαθαίνεις πρώτος τα νέα από το TrikalaVoice.gr;
Διαθέσιμο στο Google Play


















